- Functioning Habitat
- Beaches and Marine Vegetation
- Indicator
- Short and long-term change at eelgrass sites
- Vital Sign Indicator
- Percent (%)
- /
-


By 2030, see no significant difference between the number of sites with increases and declines in eelgrass area in each of three sub-regions of Puget Sound (no net loss).
By 2050, sites with long term increases in eelgrass area significantly outnumber sites with declines in each of three sub-regions of Puget Sound (net gain).
-
Bart Christiaen
- Contributing Partners
- Last Updated
- 03/28/2025 20:34:05
This indicator measures the number of eelgrass sites that are increasing, decreasing, stable, or absent. We calculate the change in eelgrass area at a site over two time periods: short-term (6 years), and long-term (all years monitored). This indicator complements soundwide area reporting by identifying change on smaller scales.
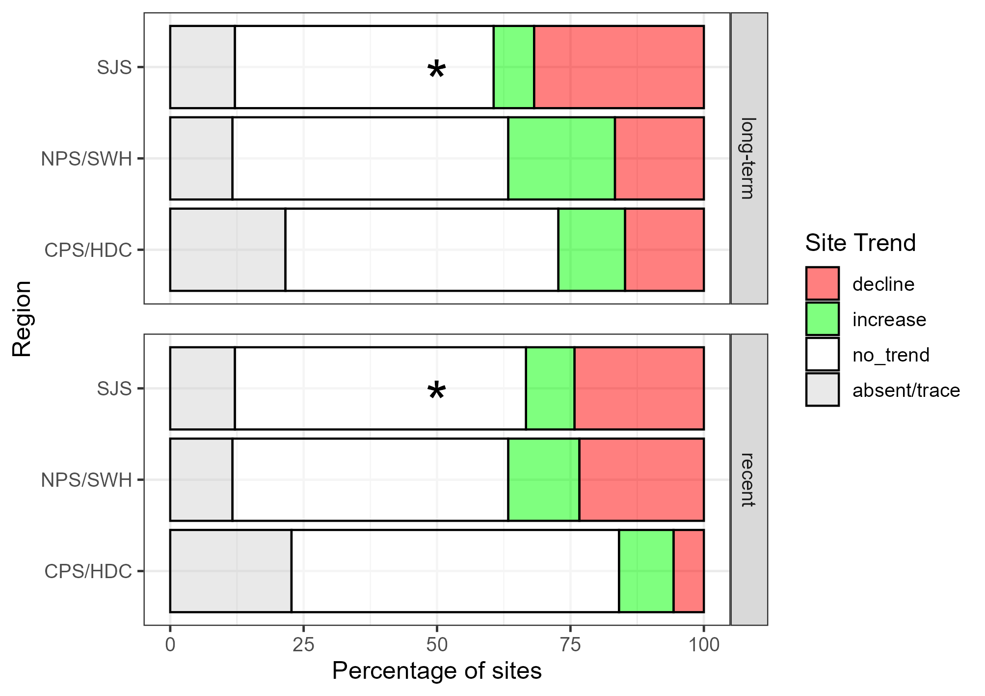
Trends in eelgrass area at 214 randomly selected sites in greater Puget Sound. Horizontal bars show the percentage of all sites with eelgrass declines (red), increases (green), no trend (white), trace eelgrass or no eelgrass (grey). Site trends are shown for 3 regions of greater Puget Sound: San Juan Islands and Strait of Juan de Fuca (SJS), Northern Puget Sound and Saratoga Whidbey Basin (NPS/SWH), and Central Puget Sound and Hood Canal (CPS/HDC). The top part of the graph shows long-term trends (based on all data between 2000 and 2023). The bottom part is based on data from 2018-2023 (recent trends). The star indicates there is a significant difference between the number of increasing and declining sites for the region as a whole (not just in the selected sample).
Eelgrass and other seagrass species play a key role in the nearshore ecosystem. They provide food, shelter and nursery habitat for a variety of organisms, ranging from small invertebrates to commercially important fish species and wading birds. Eelgrass also helps prevent erosion and maintain shoreline stability by anchoring seafloor sediment with its spreading roots and rhizomes.
- Eelgrass area was stable at most sites surveyed by the Department of Natural Resources. Over half of all sites (soundwide and within regions) showed no trend in eelgrass area, both over the long-term (2000-2023) and in recent years (2018-2023).
- Out of 214 sites surveyed soundwide, there was a similar number of sites with increases and declines in eelgrass area, both long-term and in recent years. This is consistent with the results from the soundwide eelgrass area indicator, which shows resilience on a soundwide scale.
- The Northern Puget Sound and Saratoga-Whidbey Basin region and the Central Puget Sound and Hood Canal region are assumed to be in stable condition because there was no significant difference between the number of sites with increases and declines.
- The San Juan Islands and Strait of Juan de Fuca has been identified as a region of concern because sites with declines in eelgrass area significantly outnumbered sites with increases, both over the long-term and in recent years. Most sites with declines were located in the San Juan Islands.
- Some of the largest eelgrass losses in the San Juan Islands have occurred in embayments. The most notable examples are Westcott Bay on San Juan Island (near total loss), Reef Net Bay on Shaw Island (over 60% loss), Shallow Bay on Sucia Island (about 75% loss), and Swifts Bay on Lopez Island (about 50% loss).
- Losses in embayments and at the end of inlets have also been observed in other regions of greater Puget Sound.
- Eelgrass beds near river deltas are highly dynamic. In both the Skokomish and the Nisqually deltas, eelgrass populations fluctuated by over 50% between 2000 and 2023. At a site in Skagit Bay, nearly 500 acres of eelgrass was lost between 2004 and 2023. The overall loss of eelgrass in Skagit Bay is more extensive, as adjacent sites were also impacted.
- Monitoring Program
Washington State Department of Natural Resources Nearshore Habitat and Eelgrass Monitoring: Submerged Vegetation Monitoring Program
- Data Source
The Washington State Department of Natural Resources (DNR) monitors status and trends of native seagrass species (Zostera marina and Phyllospadix spp.) in greater Puget Sound through the Submerged Vegetation Monitoring Program (SVMP). This program uses towed underwater videography to generate estimates of eelgrass area and depth distribution. Observations of the non-native seagrass Zostera japonica are recorded as part of monitoring but are not included in the estimates. Field sampling is generally conducted from May to September.
The site change indicator is based on a stratified random sample of 214 sites, selected from 2,467 potential sample sites in greater Puget Sound. These sites are sampled based on a 3-year rotating panel design: every three years DNR resamples 78-80 individual sites throughout greater Puget Sound. These sites belong to different habitat strata: narrow fringe, wide fringe, rotational flats, core and persistent flats. Fringe sites are 1,000-meter sections of shoreline, measured along the -6m bathymetry line (MLLW). Flats sites include embayments and river deltas and are delineated based on the geomorphology of the shoreline. The core and persistent flats strata include some of the largest eelgrass beds in the study area and are comprehensively sampled on an annual basis.
Sites are sampled by collecting towed underwater video footage along transects that are oriented perpendicular to shore. The way these transects are selected has changed over time. From 2000 to 2015 sites were sampled with new-draw simple random transects. Beginning in 2016, sites have been sampled using stratified random transects that are resampled over time. From the towed underwater video footage, we calculate a weighted mean fraction of the total transect length that is covered by native seagrass species. This value is multiplied by the area of a sample polygon to generate annual estimates of seagrass area at individual sites. We assess site-level change in eelgrass cover based on:
- pairwise comparisons of the vegetated fraction of transects for sites that were sampled using the same set of transects over multiple years (either using generalized linear models, pairwise t-tests or their non-parametric equivalent).
- Scatter plots of eelgrass area over time (based on all observations at a site)
All potential trends are confirmed based on visual inspection of raw spatial data. Trends are excluded if there was potential confusion in species identification between years (Z. marina vs Z. japonica), or if there was an issue with sampling in a particular year.
Based on these metrics we classify sites as ‘no grass’ (no native seagrass present), ‘trace’ (very small amount of native seagrass at the site, not enough to get an accurate area estimate), ‘no trend’, ‘increase’, or ‘decline’. We then summarize how sites are classified in 3 sub-regions of greater Puget Sound:
- Central Puget Sound and Hood Canal
- Saratoga Whidbey Basin and Northern Puget Sound
- San Juan Islands and Strait of Juan de Fuca
These sub-regions were chosen based on consideration of sample size and detection capability.
To assess condition, we calculate the ratio of increasing over declining sites in each of the sub-regions and estimate the likelihood of such a ratio for the whole sub-region (assuming an equal number of increasing and declining sites in the population as a whole). In sub-regions with significantly more declines than increases, the seagrass population is likely under stress, and in sub-regions with more increases than declines the seagrass population is probably expanding. If there is no difference between the number of increases and declines, sub-regions are considered to be in stable condition.
For more information on methods, see the latest iteration of DNR's Puget Sound Seagrass Monitoring Report and the Eelgrass Monitoring GIS Database Manual.
- Critical Definitions
Native seagrasses in greater Puget Sound include eelgrass (Zostera marina) and surfgrass (Phyllospadix spp.). Eelgrass is by far the most abundant native seagrass. It grows on sandy and muddy substrates between +1.4 meters and -12.5 meters relative to mean lower low water (MLLW). Surfgrass is mostly found on hard substrates along the exposed rocky coasts of the San Juan Islands and the Strait of Juan de Fuca.
While eelgrass in greater Puget Sound appears stable on a regional scale, there is significant variability at smaller spatial scales. Approximately 40% of vegetated sites from the 3-year rotating panel had a significant long-term trend, while 32% of vegetated sites had a significant trend in recent years. Out of these changing sites, there was a similar number of increases and declines, both long-term (44 declines & 28 increases) and in recent years (35 declines & 23 increases). This pattern is consistent with the results of the soundwide eelgrass area indicator, which shows resilience on a soundwide scale. However, there appears to be a regional pattern in site level trends:
· In Northern Puget Sound and the Saratoga Whidbey Basin and in Central Puget Sound and Hood Canal, there was no significant difference between sites with increases and declines. Both regions are assumed to be in stable condition.
· In the San Juan Islands and the Strait, declines outnumbered increases, both on the long-term (21 vs. 5) and in recent years (16 vs. 6). It is unlikely that this ratio is due to chance.
SAN JUAN ISLANDS
In the San Juan Islands, eelgrass losses have occurred at a variety of sites with different characteristics. Depending on the site, eelgrass losses were observed along the shallow edge, the deep edge, or throughout the entire eelgrass bed. The timing of the declines has also varied among sites. At some locations (such as Westcott Bay & Watmough Bay) declines happened relatively early in the time series, at some sites declines were gradual (Swifts Bay), while at other sites loss was more pronounced after 2016 (near Brown Island, Reef Net Bay). This suggests that declines were likely due to a variety of stressors.
Some of the largest eelgrass losses in the San Juan Islands (both in terms of the relative and the absolute amount of eelgrass lost) have occurred in enclosed embayments. A joint study between DNR, the Friends of the San Juans, and Friday Harbor Laboratory documented eelgrass loss at 13 out of 21 embayments over a 20-year period of time. Embayments with shallow eelgrass appeared more vulnerable to declines, as compared to embayments with mostly subtidal eelgrass beds.
While the absolute amount of eelgrass lost at individual sites in the San Juan Islands is relatively small compared to the large losses in, for example, Skagit Bay, the cumulative loss in the region could be substantial and have implications for the ecosystem as a whole. The San Juan Islands are an important feeding and rearing environment for out-migrating juvenile salmon from northern Puget Sound and British Columbia. Local eelgrass beds provide significant spawning and rearing area for forage fish, an important source of prey for juvenile salmon.
EELGRASS NEAR RIVER DELTAS
River deltas in the Pacific Northwest are often home to expansive eelgrass beds. The gentle sloping sand flats create large amounts of potential habitat but are also subject to a range of environmental stressors such as variable salinity, desiccation at low tide, and deposition and erosion due to wave action and river flow. We have documented high variability in eelgrass area at three river deltas that have been extensively sampled.
In both the Skokomish and the Nisqually deltas, eelgrass populations fluctuated by over 50% throughout the course of our monitoring program. Near the Skagit delta, eelgrass populations have declined by more than 200 hectares over the last 18 years. At the Skokomish and the Nisqually deltas, the variability in eelgrass area may be due to complex interactions between environmental drivers. At the Skagit delta, the large loss in eelgrass is likely due to erosion and redeposition of sediments, after an avulsion at the North Fork of the Skagit River. Since 2014 a series of newly formed drainage channels has progressively cut into a contiguous eelgrass bed at the center of Skagit Bay.
These changes could have an impact on local salmon populations. Juvenile Chinook and chum salmon make extensive use of nearshore and estuarine environments during their early marine rearing phase. These species are often found in high abundances in eelgrass beds at the outer edge of river deltas during their out-migration period. A large loss, such as in Skagit Bay, could limit available habitat for out-migrants which rely on eelgrass for forage habitat and refuge from predation.
-
Eelgrass beds are impacted by changes in water quality, eelgrass wasting disease, physical damage (for example, dredging, anchoring, and aquaculture), long-term variability in temperature and precipitation, and changes in the geomorphology of tidal flats. Eelgrass beds experience different stressors depending on where they grow in Puget Sound.
One possible stressor is eelgrass wasting disease, caused by the protist Labyrinthula zosterae. This disease causes necrotic lesions on the leaves, which limits plant growth, reduces belowground carbon accumulation, and lowers survival of the plants. Wasting disease is ubiquitous in many areas in the San Juan Islands. After the 2015-2016 marine heat wave, an increase in prevalence and severity of eelgrass wasting disease was associated with declines in shoot density in this area. Recent studies indicate that deeper eelgrass beds experience lower disease severity, which suggests that they could function as refugia against eelgrass wasting disease.
Losses can be due in part to human activities. DNR documented declines at several embayments that are popular destinations for recreation in the San Juan Islands. Eelgrass can be damaged through trampling, anchoring, prop scars or water quality degradation. Recent efforts by local resource managers to create voluntary no-anchor zones in sensitive embayments may reduce some of the impact on eelgrass at these locations.
Environmental conditions may have exacerbated the loss of eelgrass in recent years. Puget Sound experienced two marine heat waves in 2015-16 and 2019. Warmer water temperatures can change the metabolic balance in seagrasses, increasing their light requirements. This may have contributed to loss inside embayments, which are often warmer than the surrounding waters.
No datasets uploaded.
- Reporting Instructions
No Subcategories for this Puget Sound Indicator.